穿越技术迷雾,指引测试之光
为电子测量仪器保驾护航,技术支持,一路相随
矢量网络分析仪测量阻抗须知
矢量网络分析仪可以测阻抗,Z参数。但是在指标手册中,很少有标注阻抗测量范围的。如何判断网络分析仪的阻抗测量范围呢?
看到一条传输线Z11测试结果,你能知道它的特性阻抗吗?
测一个开路器OPEN的Z11,从几?到几k?的曲线是什么情况?
阻抗测量范围
反射系数 Γ=(z-1)/(z+1),其中归一化阻抗 z=Z/Z0
阻抗测量范围是在短路和开路之间,对应反射系数Γ在{-1,1}之间。反射系数Γ对应单端口反射散射参数S11。通常,矢量网络分析仪的指标手册中,规定了反射测试准确度,例如R&S ZVA:当反射系数接近1时,反射测量不确定度<0.015。
假设反射不确定度范围±0.02,对应反射系数范围{-(1-0.02),(1-0.02)}之间。
Z=(1+Γ)/(1-Γ) *Z0
Z_max = (1+0.98)/(1-0.98)*50 = 4950Ω
Z_min = (1-0.98)/(1+0.98)*50 = 0.5Ω
射频阻抗分析
射频阻抗Z=R+jX,其幅度和相位随频率变化而周期性变化。以下实例,分析一段传输线+电阻的Z11阻抗特性。
根据电长度不同,Z11参数频响周期性变化,此周期对应端口输入电长度2倍。
例1:电长度100mm的5kΩ负载Z11分析
①传输线电长度 Le = 100mm;
②传输线阻抗 Zt = 50Ω;
③负载电阻 R = 5kΩ;
答:Z11仿真结果1.5GHz周期变化。
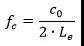
①阻抗相位过零点频率:fc = C0/(2×Le) = 1.5GHz
②最大值 Z11c = R = 5kΩ
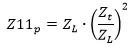
③最小值 Z11p = R × (Zt/R)^2 = 0.5Ω
例2:电长度100mm的50Ω负载Z11分析
答:当R= 5kΩ电阻更换为R=50Ω时,Z11=50Ω。
例3A:电长度100mm的75Ω传输线+50Ω负载Z11分析
答:当R=50Ω,Zt = 75Ω时
①阻抗相位过零点频率:fc = C0/(2×Le) = 1.5GHz
②峰值 Z11p = R × (Zt/R)^2 = 112.5Ω
③最小值 Z11c = R = 50Ω
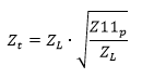
例3B:假设通过上图结果,求取传输线特性阻抗
答:传输线 Z11t = R × SQRT(Z11p/R) = 75Ω
例4:电长度100mm的75Ω传输线+75Ω负载Z11分析
答:当R=75Ω,Zt = 75Ω时
①阻抗相位过零点频率:fc = C0/(2×Le) = 1.5GHz
②Z11 = R = 75Ω
矢量网络分析仪阻抗测量范围0.5~4950?。
RF阻抗随频率周期性变化:
<1>阻抗相位过零点频率
<2>当阻抗匹配 Zt = R 时,
Z11 = R
<3>n∙fc阻抗相位过零点是纯电阻
<4>n∙fc/2阻抗相位±90°频率对应阻抗
<5>C0 = 3×10^8
<6>传输线末端负载阻抗 ZL
<7传输线阻抗Zt>
以上有关网络分析仪测量阻抗知识由西安橙子视频下载网络分析仪维修中心网(www.hustinova.com)整理发布。
上一篇
